Chapter 2 信息的处理与表示
# (一) 信息存储
# 1.1. 十六进制数
位权 16i
“十六进制 <=> 十进制” 的窍门: A-10 C-12 F-15
# 1.2. 进制转换
# 1.2.1. 二进制 <-> 十六进制
# 1.2.2. 十进制 <-> K 进制
# 整数的情况:
- 整数部分不断除以基数 K,并记下余数,直至商为 0 为止。
- 从最后一个余数起,逆向取各个余数,则为转换后的 K 进制数。
# 小数的情况:
乘以基数 K,记录整数部分,直至小数部分为 0 为止。
小数转换若无法乘到为 0,则选取一定精度(位数)。
# 1.2.3. K进制 <-> 十进制
按权展开
# 1.3. 编码
# 1.3.1. 编码长度
字长 -> 指针的标称长度 -> 虚拟地址空间的最大大小
C 语言的 type size
# 1.3.2. 寻址与字节序
对于跨越多字节的 object,必须建立两个规律:① 这个 obj 的地址是什么?② 在内存中如何排列这些字节?
寻址:对象的地址为所使用字节中最小的地址
字节序:大端序与小端序
字节序变得重要的三个情况:
- 网络传输
- 阅读字节序列
- 当编写规避正常的类型系统程序时
# (二)位的运算
# 2.1. 布尔代数
&AND 与|OR 或~NOT 非^XOR 异或
布尔环:长度为 w 的位向量上的 ^ & ~ 运算
布尔环中“加法”是 ^,其加法逆元是其本身,如 a ^ a = 0
应用于集合:|、& 对应于集合的并、交,~ 对应于补
# 2.2. C 语言的位级运算
& | ~ ^
# 2.2.1. 巧用异或
void inplace_swap(int* x, int* y) {
*y = *x ^ *y;
*x = *x ^ *y;
*y = *x ^ *y;
}
2
3
4
5
WARNING
但该程序隐含是 x、y 不是同一个地址,否则 *x ^ *y 后直接全 0
# 2.2.2. 掩码运算
技巧:表达式 ~0 生成一个全1的掩码
# 2.3. 对比 C 语言的逻辑运算
&& || !
- 运算结果为 0 或 1,大小为一个 byte
- 具有短路求值("提前终止")的特性
# 2.4. C 语言的移位运算
# 左移
逻辑左移 x << k
# 右移
- 逻辑右移:左边填 0
- 算术右移:左边补 MST 的值
TIP
C 语言未明确定义采用哪种
# (三)整数表示
# 3.1. 无符号数的编码
- 编码具有唯一性
# 3.2. 补码编码
- MST 的
称为符号位,权重 - 取值范围:[
, ] - 补码编码也具有唯一性
- 两个值得注意的数学特性:
- 非对称:
- 最大值与无符号数的关系:
- 非对称:
C 语言的常量声明:#include <limits.h>
# 3.3. 无符号数与有符号数之间的转换
强制类型转换的结果保持位值不变,只是改变了解释这些位的方式。
# (1)补码 -> 无符号数
- 其实就是把符号位的权重由
逆转为
# (2)无符号数 -> 补码

- 其实就是将符号位的权重由
逆转为
# (3)C 语言类型转换产生的奇怪行为
expr 中有 signed 和 unsigned 混用时,有符号隐式地转换为无符号,包括比较运算符 < > == <= >=。
例如,-1 < 0U <=> 4294967295U < 0U => False
# (4)无符号与有符号转换的基本原则:
- 位模式不变
- 重新解读
- 会有意外的数值变化:被
- 表达式中混用时的隐式转换
# 3.4 扩展
扩展:不同字长之间的转换,同时又保持数值不变
零扩展 -> 无符号数:前面填 0
符号扩展 -> 有符号数:前面填 MSB 位(符号位)
当执行强制类型转换既涉及大小变化又涉及符号变化时,应该先改变大小再转变符号。 eg:short -> int -> unsigned int
# 3.5 截断
截断:减少表示一个数字的位数(如 int -> short)
基本原则:
- 无论是有符号数/无符号数,多出的位均被截断
- 结果重新解读
# (1)截断无符号数
w 位的
# (2)截断有符号数
w 位的
TIP
上面的过程就是按照 unsigned 解读位模式,截断至 k 位,即原 unsigned 值 mod
# 3.6 无符号数与有符号数的使用
隐式转换产生了很多 bug,除非已经知道隐含的转换规则,否则不要使用。
使用 unsigned 的两种情况:
- 进行模运算和多精度运算时(此时数字由字的数组表示)
- 用二进制位表示集合时
# (四)整数运算
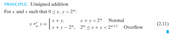
# 4.1 无符号加法 UAdd
两个 w 位 unsigned 相加 -> 真实和需要 w+1 位 -> 丢弃进位,得到 w 位
模数加法:
检测溢出:
# 4.2 补码加法 TAdd
TAdd 与 UAdd 有着完全相同的位级表现。
功能:
- 真实和需要 w+1 位
- 丢弃 MSB 位
- 将剩余位视为补码整数
补码加法:
检测溢出:s = x + y,若 x > 0, y > 0 但 s <= 0,则正溢出;若 x < 0, y < 0 但 s >= 0,则负溢出。
# 4.3 阿贝尔群 Abelian Group
模数加法形成了阿贝尔群,表示为 <
特性:封闭性、交换性、结合性、单位元 0、有加法逆元(
TAdd 与带 UAdd 加法的无符号数是同构群(因为有着相同的位模式)
补码加法也构成一个群: 
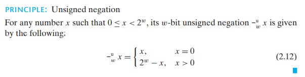
# 4.4 无符号数求反
w 位的 
# 4.5 有符号数补码取非
w 位的 
- signed 和 unsigned 的非产生的位模式是相同的,都是各位取反再加1。
# 4.6 无符号数乘法
两个 w 位的 unsigned 相乘 --> 真实结果需要
# 4.7 补码乘法
- unsigned 和 signed 乘法具有位级等价性(完整的乘积位级可能不同,但截断后的位级相同)
# 4.8 乘以常数
编译器经常试着用移位和加法运算的组合来代替乘以常数的乘法
u << k 等价于
考虑一个任务,对于某个常数 K 的表达式 [(0...0)(1...1)(0...0)...(1...1)],例如 14 可以写成[(0...0)(111)(0)]。考虑一组从位位置 n 到 m 的连续的 1(n >= m,对于14来说,n=3, m=1),我们可以用下面两种不同的形式来计算这些位对成绩的影响:
- 形式 A:
- 形式 B:
把这样连续的 1 的结果加起来,不用做任何乘法,我们就能计算出
Example
对于下面的每个 K,找出只用指定数量的运算表达

# 4.9 除以 2 的幂
除以 2 的幂可以使用逻辑右移(unsigned)或者算术右移(signed)来达到目的。
# (1)无符号除法
# (2)补码乘法
问题:右移导致的是向下舍入,当我们希望向零舍入时,负数的右移会产生舍入方向的错误
解决:引入"偏置bias"来修正舍入:
综上两种舍入方式,C 表达式 (x < 0 ? x + (1 << k) - 1 : x) >> k 会计算
TIP
该表达式表示大于0时向下舍入,小于0时加上 bias 向上舍入
不幸的是,这种方法不能推广到除以任意常数。
# 4.10 代码安全问题
# (1)getpername 函数漏洞
int copy_from_kernel(void* dst, int maxLen) {
int len = KSIZE < maxLen ? KSIZE : maxLen;
memcpy(dst, kbuf, len);
return len;
}
2
3
4
5
Bug:line4 将一个 int 传入了 size_t,若为 maxLen 传入负数会导致获取到内核额外的数据
# (2)XDR 安全漏洞
void copy_elements(void* src[], int cnt, size_t size) {
void* ret = malloc(cnt * size);
... // 将 src 拷入 ret
return;
}
2
3
4
5
Bug:此处乘法结果在赋值 size_t 类型时可能会产生溢出,导致少分配了空间
# (五)浮点数
# 5.1 二进制小数
小数点左移一位 <=> 被2除;右移一位 <=> 乘2
缺点:很多数无法精确表示
# 5.2 IEEE 浮点表示
- 符号:正数 s=0,负数 s=1
- 尾数:M 是一个二进制小数,范围:规格化时是
,非规格化时是 - 阶码:E 对浮点数加权,权重是 2 的 E 次方幂
浮点数的位被划分成三个部分:
- 单独的符号位
- k 位的阶码字段,编码为 E
- n 位的小数字段,编码为 M

阶码的值决定了数的类型:
规格化的值:exp 位模式不全为0,也不全为1
E = e - Bias, 其中
M = 1 + f, 其中
M = 1 + f 是因为有隐含的 1 开头
非规格化的值:exp 位模式全0
E = 1 - Bias, M = f
E 中的 "1-" 是为了平滑过渡用来补偿从中缺失的1,M 中没有隐含的 1.
特殊值:exp 位模式全1
:frac 位模式全0时 s = 0时正无穷,s=-1时负无穷。可以用来表示溢出 :frac 位模式非全0时 表示根号-1、无穷减无穷等

# 5.3 浮点数举例
它们并非均匀分布,而是越靠近原点则越稠密

浮点数分布规律以及特殊值见 CSAPP P80,P82
当用8位表示浮点数时:

# 5.4 浮点数舍入
舍入模式:
- 向0舍入
- 向下舍入
- 向上舍入
- 向偶数舍入(default,“四舍六入五凑俩”)
向偶数舍入:试图找到一个最接近的匹配值,若原数是两个可能结果的中间数,则他将向上或向下舍入,使得结果最低有效数字是偶数

TIP
“中间数”的呈现形式是所保留的位后面紧跟"1000...",即只有一个1,剩下全是0。
如10.010 -> 10.0; 10.110 -> 11.0
向偶数舍入可以避免很多统计误差
# 5.5 浮点运算
x + y = Round(x + y), 基本思想:
- 首先,计算精确结果
- 然后,变换到指定格式(E太大可能溢出,小数部分可能需要舍入)
计算精确结果 -> 修正(规格化)
# 浮点乘法

数学特性:
- 不再满足结合性(因为不同的结合可能会产生不同的舍入)
- 满足了单调性: 若 a >= b, 那对任何 a b x (除了NaN),都有 x + a >= x + b。
# 浮点数加法

数学特性:
- 不再具有可结合性
- 浮点乘法在加法上不具备分配性
- 满足单调属性
- 可保证只要 a != NaN, 就有 a * a >= 0.
# 5.6 C 语言的浮点数
在支持 IEEE 浮点格式的机器上,float、double 就对应于单精度和双精度浮点。
不幸的是,由于 C 语言标准不要求机器具有 IEEE 浮点,所有没有标准的方法来改变舍入方式或者得到 -0、
int、float、double 之间的类型转换:
- int -> float 不会溢出,但可能被舍入
- float/double -> int 时,值会向 0 舍入,此时不再是位模式的重新解读